山东省干细胞学会
  • 首 页
  • 走进学会
    • 学会简介
    • 学会章程
    • 规章制度
    • 现任领导
    • 学会荣誉
  • 党务建设
  • 学会要闻
  • 通知公告
  • 会员中心
    • 申请入会
    • 费用缴纳
    • 业务申请中心
  • 学术会议
    • 学会会议
    • 专业委员会会议
  • 科学普及
  • 科研应用
    • 论文与成果
    • 政策导读
  • 首 页
  • 走进学会
    • 学会简介
    • 学会章程
    • 规章制度
    • 现任领导
    • 学会荣誉
  • 党务建设
  • 学会要闻
  • 通知公告
  • 会员中心
    • 申请入会
    • 费用缴纳
    • 业务申请中心
  • 学术会议
    • 学会会议
    • 专业委员会会议
  • 科学普及
  • 科研应用
    • 论文与成果
    • 政策导读

Notice

  • 首页
  • 通知公告

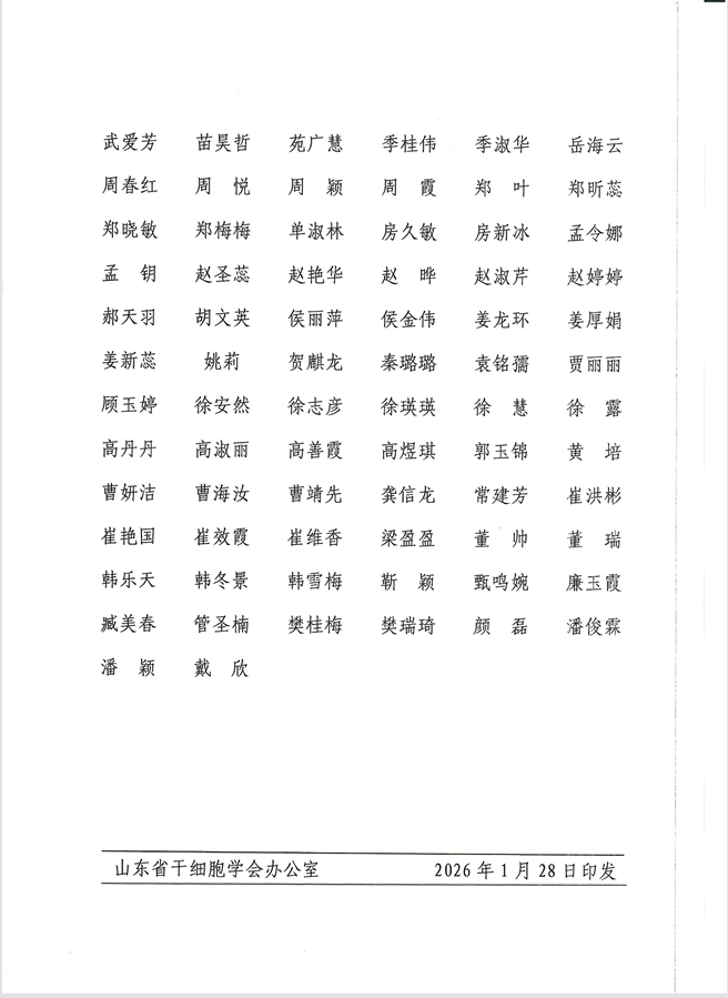
关于公布山东省干细胞学会第一届生殖医学专业委员会组成人员及其分工的通知

1970-01-01 08:00:00 368

6ffb053b1201eca089b790502ed6fae9.png

ff1c35ceb75ad0326c83dbadba089123.png

84367d004574581bdb647e300038c1e0.png

faf147ce150168c2f90bf23eeda32037.png

27952a06ec2a13ee1df2250d5c04a70e.png

5ee4fbf70dc2799504baf2e21b54151c.png


上一篇: 关于公布山东省干细胞
下一篇: 暂无数据

最新文章

关于公布山东省干细胞学会第一届生殖医学专业委员会组成人员及其分工的通知

368 1970-01-01

关于公布山东省干细胞学会第二届泌尿系统干细胞与再生医学专业委员会组成人员及其分工的通知

753 1970-01-01

关于公布山东省干细胞学会第一届干细胞与关节疾病专业委员会组成人员及其分工的通知

1223 2025-12-24

关于公布山东省干细胞学会第一届多器官功能损伤与修复专业委员会组成人员及其分工的通知

733 2025-12-25

关于召开山东省干细胞学会造血干细胞移植专业委员会换届大会暨第二届第一次年会通知

1310 2025-11-12

联系我们

0531 - 8595 5369 sdstemcell@sdsca.cn https://www.sdsca.cn 山东省济南市天桥区北园大街247号山东大学第二医院崇礼楼4楼

友情链接

  • 山东大学第二医院
  • 山东大学
  • 中国科普博览
  • 卡森细胞治疗工程技术有限公司

加入我们

版权所有© 山东省干细胞学会
备案号:鲁ICP备2020036303号-1